Skip to content Skip to sidebar Skip to footer

Quotient Rule Derivative : The Quotient Rule Explanation And Examples Mathbootcamps, The quotient rule is a formal rule for differentiating problems where one function is divided by another.

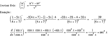
Quotient Rule Derivative : The Quotient Rule Explanation And Examples Mathbootcamps, The quotient rule is a formal rule for differentiating problems where one function is divided by another.. The quotient dominion says that the derivative of the quotient is the denominatortimes the derivative of the numerator minus the numerator times the derivativeof the denominator, all divided by the square of the denominator. In each calculation step, one differentiation operation is carried out or rewritten. An easy way to remember the formula is with the mnemonic device: Using the quotient rule, the derivative of tan(x) is equal to sec 2 (x) product and quotient rule. Math · ap®︎/college calculus ab · differentiation:

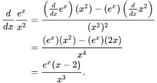
The formal definition of the quotient rule is: The quotient rule is a method for differentiating problems where one function is divided by another. This page will show you how to take the derivative using the quotient rule. Example 1 differentiate each of the following functions. The quotient rule says that the derivative of a quotient is the denominator times the derivative of the numerator minus the numerator times the derivative of the denominator, all divided by the square of the denominator.

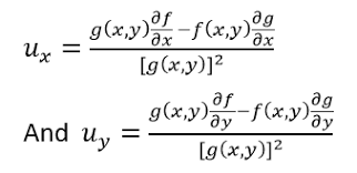
Rules Of Calculus Multivariate
Rules Of Calculus Multivariate from www.columbia.edu
The quotient rule follows the definition of the limit of the derivative. The quotient rule the engineer's function brick (t) = 3 t 6 + 5 2 t 2 + 7 involves a quotient of the functions f (t) = 3 t 6 + 5 and g (t) = 2 t 2 + 7. This is the currently selected item. The quotient rule is a formula for finding the derivative of a fraction. The derivative tells us the slope of a function at any point. How do you use the quotient rule to find the derivative of #y=x/(3+e^x)# ? The quotient dominion says that the derivative of the quotient is the denominatortimes the derivative of the numerator minus the numerator times the derivativeof the denominator, all divided by the square of the denominator. Let's do a couple of examples of the product rule.

Math · ap®︎/college calculus ab · differentiation:

The quotient rule gives the slope of f(x) / g(x). The quotient rule is a formula for finding the derivative of a fraction. The premise is as follows: An easy way to remember the formula is with the mnemonic device: The quotient dominion says that the derivative of the quotient is the denominatortimes the derivative of the numerator minus the numerator times the derivativeof the denominator, all divided by the square of the denominator. It explains how to find the derivatives of fractions and. The following problems require the use of the quotient rule. Now, we can make a bigger machine from smaller ones (h = f + g, h = f * g, etc.). 20 interactive practice problems worked out step by step. It is a formal rule used in the differentiation problems in which one function is divided by the other function. The quotient rule the engineer's function brick (t) = 3 t 6 + 5 2 t 2 + 7 involves a quotient of the functions f (t) = 3 t 6 + 5 and g (t) = 2 t 2 + 7. The formal definition of the quotient rule is: Basically, you take the derivative of multiplied by, subtract multiplied by the derivative of, and divide all that by.

The quotient rule, is a rule used to find the derivative of a function that can be written as the quotient of two functions. We can zoom into a single derivative and rewrite. An easy way to remember the formula is with the mnemonic device: Type the numerator and denominator of your problem into the boxes, then click the button. Definition and basic derivative rules · the quotient rule.

Maths First Institute Of Fundamental Sciences Massey University
Maths First Institute Of Fundamental Sciences Massey University from mathsfirst.massey.ac.nz
The following problems require the use of the quotient rule. More simply, you can think of the quotient rule as applying to functions that are written out as fractions, where the numerator and the denominator are both themselves functions. See all questions in quotient rule Type the numerator and denominator of your problem into the boxes, then click the button. 1) y = 2 2x4 − 5 dy dx = − 2 ⋅ 8x3 (2x4 − 5)2 = − 16 x3 4x8 − 20 x4 + 25 2) f (x) = 2 x5 − 5 f '(x) = − 2 ⋅ 5x4 (x5 − 5)2 = − 10 x4 x10 − 10 x5 + 25 3) f (x) = 5 4x3 + 4 f '(x) = − 5 ⋅ 12 x2 (4x3 + 4)2 = − 15 x2 4x6. Lets look at the formula. The little mark ' means derivative of, and. Math · ap®︎/college calculus ab · differentiation:

The slope of a constant value (like 3) is always 0;

Y = 3√x2(2x−x2) y = x 2 3 (2 x − x 2) This page will show you how to take the derivative using the quotient rule. There's a differentiation law that allows us to calculate the derivatives of quotients of functions. Now, we can make a bigger machine from smaller ones (h = f + g, h = f * g, etc.). Examples of the quotient rule example 1: Oddly enough, it's called the quotient rule. Fun‑3 (eu), fun‑3.b (lo), fun‑3.b.2 (ek) google classroom facebook twitter. The following problems require the use of the quotient rule. It provides it rather easier to save track of every one of the terms. The quotient rule is a formula for finding the derivative of a fraction. The adhering to diagrams display the quotient rule supplied to discover the derivative ofthe division of 2 features. It explains how to find the derivatives of fractions and. The quotient rule is a method for differentiating problems where one function is divided by another.

There are rules we can follow to find many derivatives. By using this website, you agree to our cookie policy. The quotient rule is a method for differentiating problems where one function is divided by another. Basically, you take the derivative of multiplied by, subtract multiplied by the derivative of, and divide all that by. If two differentiable functions, f (x) and g (x), exist, then their quotient is also differentiable (i.e., the derivative of the quotient of these two functions also exists).

Ex 3 Determine A Derivative Using The Quotient Rule Youtube
Ex 3 Determine A Derivative Using The Quotient Rule Youtube from i.ytimg.com
It provides it rather easier to save track of every one of the terms. See all questions in quotient rule The slope of a line like 2x is 2, or 3x is 3 etc; It is a formal rule used in the differentiation problems in which one function is divided by the other function. The quotient rule is a method for differentiating problems where one function is divided by another. There is also a table of derivative functions for the trigonometric functions and the square root, logarithm and exponential function. By using this website, you agree to our cookie policy. The quotient rule the& quotient rule is used to differentiate functions that are being divided.

But, where does it come from?

Examples of the quotient rule example 1: Derivatives of rational functions, other trig function and ugly fractions. The derivative rules (addition rule, product rule) give us the overall wiggle in terms of the parts. The quotient rule is a formula for taking the derivative of a quotient of two features. There's a differentiation law that allows us to calculate the derivatives of quotients of functions. There isn't much to do here other than take the derivative using the product rule. In calculus, the quotient rule is a method for determining the derivative (differentiation) of a function in the form of the ratio of two differentiable functions. This page will show you how to take the derivative using the quotient rule. The quotient rule the engineer's function brick (t) = 3 t 6 + 5 2 t 2 + 7 involves a quotient of the functions f (t) = 3 t 6 + 5 and g (t) = 2 t 2 + 7. The quotient rule, is a rule used to find the derivative of a function that can be written as the quotient of two functions. How do you use the quotient rule to find the derivative of #y=x/(3+e^x)# ? Quotient rule given two differentiable functions, the quotient rule can be used to determine the derivative of the ratio of the two functions,. Type the numerator and denominator of your problem into the boxes, then click the button.